讨论时间:2022年5月13日
领读学者:任逸、刘任翔
录音整理:刘任翔
字数总计:19600
完读时间:1小时47分钟
1 直观理解量子化
刘任翔:我们追问的主要是:在量子力学所导向的物理的宇宙观或物质观中,时间的地位有什么变化?讨论的基础是搞清楚量子力学到底在干什么,尤其是“量子”是什么意思。
我本科学的是化学。化学里最让人不解的事情就是:为什么会有“元素”?为什么会有元素周期表这个东西?换言之,为什么原子的种类数是有限的?这件事情,如果没有量子论,会很难解释。在物质世界的化学组成层面,竟然只有那么有限种原子可以参与分子的组成,并且这些原子的性质竟然是按周期排列的。这是我学习量子力学时的切入点。
量子力学有两套表述:薛定谔表述和海森堡表述。它们在数学上是等价的,但是在直观理解的难易程度上还是有一些区别。薛定谔表述中涉及到偏微分;如果没有数学基础,会比较难理解从偏微分的式子里如何推出了物理量的量子化(不连续)这个结论。所以我暂时避开薛定谔表述,而集中于海森堡表述。
海森堡表述没有直接用到偏微分,而是用到了矩阵。矩阵的运算涉及的都是简单的算术运算,用它来理解量子力学会更简洁一点。
在自然界中,我们会见到许多的波,如声波、绳上的机械波等。波首先需要一个空间;它是物体在该空间之中的周期性振荡。一般认为,这个空间是连续的:它无限地可分,在任两点之间都可以找到一个居于它们中间的点。问题是,当我们给波加上了一些限定条件时,它的可能出现的波长就会有一些限制。波长只能取某些特定的值,而在两个相邻的特定值之间的那些波长是不可能的。也就是说,波长只能是按照一个序列定义的有限种或可数种。这种情况出现的一个最经典的情景就是所谓驻波:

当我们把绳的两个端点固定起来,波的运动方式就要满足一个条件:两个端点间的距离必须是波的半波长的整数倍。如果不是整数倍,就无法保证绳的两个端点始终是静止的。两端点的距离是半波长的整数倍,这是在物理世界中出现量子化现象的一个很经典的情形。这跟量子力学没有直接关系。

如果我们现在在想象中把这个系统放到微观世界中去,会出现什么事?比如说,在一个原子核附近,假定原子核性质是固定的,在它的周围就形成了一个固定的电场。这个电场有对称性,一般来说是球对称的。于是,在这个场中的驻波,也必须满足一些对称性的条件。例如,围绕原子核的环形上如果有个类似于“驻波”的东西,那么环形的周长必须是驻波的半波长的整数倍。这当然只是一种形象的说法,但它表明,当我们考察微观的体系时,尤其是考察类似于原子核附近的静电场、引力场时,量子化的条件自动地就会出现。这个条件首先就跟自然界的对称性有关系。也就是说,为了使得最终产生的那个系统仍然具有某种对称性,我们就必须要使得这个系统的某些物理量满足量子化的条件。
在现在这个情形里面,我们谈论的是波长的量子化。当然,随之而来的也会有波的频率、能量的量子化。量子力学在考察微观世界的时候,最常谈论的是能量的量子化。比如最简单的氢原子:它的原子核只由一个质子组成,核外有一个电子。这个系统的能量是量子化的,也就是说核外电子的能量不是一个连续的谱系,而是只能取一些离散的值。当这个电子从一个能级跳到另一个能级,会发出一个光子,那么这个光子的波长(对应于能级之差)就是量子化的,不是连续的。在原子光谱实验中,量子化的表象就是发射光谱和吸收光谱都不是连续谱,而是由一些谱线组成。如氢原子的发射光谱:

谱线的实验发现要早于量子力学理论的提出,当时它是一个亟待解释的现象。量子力学就是在解释包含谱线在内的一系列现象的尝试中逐渐发展起来的。
一开始,玻尔还想用类似于太阳系的行星模型去解释谱线的现象。他假设,电子绕核做圆周运动,而圆周的半径只能取某些离散的值。问题是,在这个模型里,“圆周的半径只能取某些离散的值”属于一个特设性(ad hoc)假说,也就是说,对这件事没有进一步的解释,理论相当于只是推迟了问题。
要给出真正意义上的解释,就要涉及量子力学。我们可以考察一下这在量子力学的海森堡表述中是怎么解释的。我们不用纠结于细节,只是简单演示一下。
矩阵是一个像表格一样的东西,每一格里有一个数。矩阵的乘法遵循线性代数的规则:当我用一个2×2的矩阵去乘上一个1×2的矩阵时,得到的是一个1×2的矩阵,即:

这是基本的运算规则。进而,我们发现,如果我们首先确定一个二维的(平面)坐标系,那么平面上任何物体的位置坐标都可以通过一个1×2的矩阵来表示。如果这里所有的1×2的矩阵都表示点的位置,那么把一个2×2的矩阵乘以一个表示点A位置的1×2的矩阵,得到的结果是表示另一个点B的位置的1×2的矩阵,这是什么意思呢?意思就是说,当我对A点做一个所谓的“几何变换”后,可以得到B点,而2×2的矩阵表示的就是那个“几何变换”本身。几何变换可以有很多种,比如说沿着x轴作轴对称、以原点为圆心向逆时针方向旋转90°、拉伸放大为原来的两倍等。在计算机上,像Adobe Photoshop这类软件在做几何变换时用的也是矩阵。例如:

这是在说:(1, 1)这个点,经过由2×2矩阵表示的几何变换,得到了(3, 7)这个点。在这个例子里,我们发现一件事情。(1, 1)这个点在经过变换之后,变成了(3, 7)这个点,但在变换的前后,从原点引向它们的向量的方向变了。向量(3, 7)相比于向量(1, 1)不仅变长了,而且旋转了:

绝大多数几何变换都会引起向量的旋转。只有当2×2的矩阵所表达的是某些非常特殊的几何变换时,得到的新的点才会仍在原来的点所在的方向上。如:


这里,几何变换仍然是用

这个矩阵表示的,但我们将它施加于(1, 3)这个点,发现变换后得到的点是(5, 15),而这个点正好在向量(1, 3)的延长线上5倍处,向量的方向没有变。这件事情对于量子力学的矩阵表示来说非常重要。

对于我现在随便列出的这个矩阵而言,只有两组初始的点(向量)满足如下条件:对它施以矩阵所代表的几何变换,得到的点还在原来向量的同方向上。一组是在向量(1, 3)方向上的向量,几何变换会将它们沿同方向拉伸5倍;另一组是在向量(−1, 1)方向上的向量,几何变换完全不会改变它们。可以在数学上证明,除了这两组向量之外的任何向量,在经受矩阵所代表的几何变换后,方向都会改变。
那么,方向改变在量子力学中对应的物理意义是什么?非常粗略地说,我们这里的几何变换可以理解为对某个物理系统的一次测量,而向量的方向则可以理解为系统的状态。如果测量不改变向量的方向,也就是说不改变系统的状态,那么测量就满足宏观物理学的基本假定之一:对系统的测量不改变系统的状态。但在微观尺度下,这是非常少见的。大多数情况下,测量会改变系统的状态,这体现在矩阵所代表的几何变换会改变初始向量的方向。这是对量子力学中所谓不确定性原理的一种直观表示。
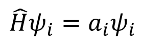
所以,这里由(1, 3)和(−1, 1)这两个向量的方向所代表的系统的状态,就被称作是这个系统的本征态(eigenstate)。在海森堡表示中,2×2的矩阵被称为物理量算符,可以理解为测量这个系统相应的物理量。例如,能量的算符用Ĥ表示。如果假定

那么只有当系统处在(1, 3)和(−1, 1)代表的两种状态之一的时候,对系统的能量的测量才不会改变其状态。因此,矩阵运算


都可以看成是如下形式:

其中ψ1 = (1, 3), a1 = 5; ψ2 = (−1, 1), a2 = 1。
我们已经说过,ψ1和ψ2所代表的系统的两个状态被称作本征态。ψ1和ψ2自己被称作本征矢(eigenvector),相对应的a1和a2被称作本征值(eigenvalue)。本征值表示的是测出来的能量的大小。
换言之,对刚刚讨论的二维系统而言,只有两种能量的稳态,即不会被对能量的测量所打乱或改变的状态。第一种状态由本征矢(1, 3)表示,对应的能量的本征值是5;第二种状态由本征矢(−1, 1)表示,对应的能量的本征值是1。在数学上,这被表达为:用一个算符作用于一个本征矢,可以得到的是这个本征值乘以这个本征矢:Ĥψi = aiψi。其余的状态都不是能量的稳态,但它们可以由两种本征态经过线性组合,以概率的方式实现出来。
现在,如果我们想象这个二维的系统中是一个电子,那么它只能在1和5两个能级之间跳跃,它所发射的波长就只有一种,对应于能量5 – 1 = 4。这个系统被限定在了两种稳态之间,可以在这两种状态之间因为某种外在的扰动而变化,但不能够稳定地取其它的能量值,如6。这是矩阵运算的性质所规定的。
这里,我是用量子力学的海森堡表示来演示物理系统的“量子化”是怎么回事。量子化的结果,就是物理量可以取的值不再是连续了。这对于任何的物理量都成立。每一种物理量都对应一个算符,于是,除了能量的算符,还有位置、速度、动量的算符等。每一个算符都有自己相应的本征态,有它的本征矢和本征值。不同的算符对应的有可能是不同的本征态,这件事情导致了不确定性关系。
量子力学之前的物理科学有一个基本信念:“自然不做跳跃”(Natura non facit saltus)。它甚至可以作为一条原理、用来解决一些物理学问题。在我们学习经典物理学时,经常考虑两个极值,然后依据两个极值之间的曲线连续这一点来考察系统变化的情况。但在量子化的条件下,这条原理就不适用了。在我们看到的两种本征态之间并没有什么连续过渡,而是一种纯粹的跳跃。这是量子力学第一个非常反直觉的地方。
第二个反直觉的地方就是,对于一个物理量的测量,竟然会改变被测量的系统的状态。这件事在物理的世界观中非常难以理解。我们高中学唯物主义哲学,也会说“物质是不以人的意志为转移的”。我们会认为,测量是一种由人发起的活动,这个活动不属于被测量的物体的本质。那么,为什么一个不属于物体之本质的活动,在作用于该物体时,(在多数条件下)竟然必定改变这个物体的本质?
这件事情在哲学上一个推论是:我们很难再说我们测量到的是这个体系的“客观”情况。“客观”的定义就是其情况与我们“主观”上怎么测没关系。如果对于一个系统的某个客观的物理量有两种测量方法的话,那么这两种方法必须测出一样的值。如果测出来的值还跟测量方法有关系,那我们只能说,我们测出的不是系统本身的性质,而是系统与我们的测量方法之间的互动方式。
当物理学中所有的测量和计算都只能被限定为物理系统与我们的互动方式,整个物理学的世界观就会改变。这个世界观之下,很难再持一种朴素的实在论的观点。可以有某种精致的实在论,但是很难再说所有的物理存在都不依赖于我们怎么与它互动。
进而,从量子力学的一些基本原理,能够推出元素周期律,这在当时的我看来是一件非常震撼的事情。人们对元素周期律的认识要更久,知道元素性质是周期性变化的,但是很难从微观的角度去解释它。只有我们首先理解了量子化,理解了一个核外电子的能量、角动量、空间伸展方向、自旋只能取某些离散的值(主量子数、角量子数、磁量子数、自旋量子数)的时候,才能去理解,为什么比如说硼和碳两个元素之间竟然有一个跳跃,并不存在一个处于硼和碳之间的元素。

量子力学的解释力非常强,它为很多从前只能特设性地假定的事情赋予了基础。抛却其反直觉特征,量子力学在解释力上是完全没有问题的,它可以很好地预测一个系统的统计学上的行为。
任逸:如何进一步理解这个“算符”?算符的数学形式如何与实际实验中的测量对应起来?说算符“改变了系统的状态”,这意味着什么?算符是理解为一种视角更合适,还是理解为一次测量活动更合适?
刘任翔:“视角”和“测量”的区别在于会不会改变系统。量子力学说,测量会改变系统。而当我们说,“这只是不同的视角”,就是说我们看到的不一样,但所看的东西是一样的。在经典力学中,视角与测量是一回事,原因是我们假定了测量不改变系统。科学最基本的要求就是可复现性。如果你做出一个结论,然后我再去测,又不是那么回事了,那就不能算科学。在可复现性的前提下,才能说:尽管你有你的视角、我有我的视角,但是没关系,因为我们俩在研究同一个客观事物。
任逸:那么算符为什么就是2×2的矩阵?为什么不是2×3的?似乎2×3的矩阵也可以代入运算。
刘任翔:2×3的矩阵,乘以1×2的矩阵,得出的是1×3的矩阵,相当于把一个平面上的点变换到三维空间里去了。想要保持空间的维数不变,几何变换的矩阵就必须是正方形(n × n)的。几何变换一般都是拉伸、平移、旋转等,不改变维数。
当然,量子力学的实际情况是并不限于2×2的矩阵,甚至不因为三维空间性而限于3×3的矩阵。有时是无穷大乘以无穷大的矩阵,只不过这里必须是可数无穷大。我不能理解那些,只好拿2×2的情况来类比,只是为了解释为什么会有量子化,为什么会有本征态,为什么会有所谓本征值。
2 不确定性关系与系综的统计规律
刘任翔:现在考察一下所谓的不确定性关系。长期以来,我们把海森堡不确定性原理理解成“测不准原理”。“测不准”的意思是说,“自然界自身”是精确的,只不过我们人类的测量手段有局限。因为这种局限,我们无法同时得到两个关联的物理量的准确值。但是“不确定性”就不是这个意思。它是承认了自然界自身的不确定性;我们测不准,只是这种不确定性的一种显现方式,与我们所受的个别的局限没有必然关系。
但另一方面,量子力学并不是说一个系统的行为完全是随机的。它从来没有这么说过;将量子力学解读为完全的随机性,这在物理学上站不住脚。量子力学只是说:个体的行为是不可预测、不可复现的。比如著名的双缝干涉实验,打一个光子过去,它会落在哪儿,这是不可预测的;如果这回发现它打在这儿,并不能保证下回还打在这儿。但是,个体的行为是可观测的,例如双缝实验中,一开始是借助感光胶片来观测单个光子的行为。
与此同时,有另外一种存在,即所谓“系综”(ensemble)。系综刻画的是数量上趋近于无穷大的个体都做同一件事(比如通过双缝)时表现出的行为的统计规律。系综总是暗含了对于非常多的、乃至无限多的个体的一种总体的看法。
回到我们对时间的探讨。对个体的运动而言,可以非常容易地确定运动所发生的时刻;但系综的概念恰恰是要把这个时间的条件从系统中抽掉,因为它描绘的是所有可能的个体在足够长的时间跨度中全都经历了同样的条件后,所表现出来的那种自身不随时间变化的稳定结构。比如双缝干涉实验中稳定的结构就是疏密相间的波形。
波形本身可以通过光的波动的理论来说明,但光的所谓“波粒二象性”意味着只有当光子足够多时才会表现出波的性质,呈现明暗相间的条纹;而当我们观察个体的光子时,它又表现得像一个粒子一样,并且这个粒子的行为是没有办法准确预料的。

我们在这里有了这样一对矛盾:对于个体来说,它是可观测的,但是不可复现、不可预料;对于系综来说,它可以复现、也可以预料,但它严格说来不可观测,因为它说的是接近无限多个光子通过的情况。我们每次得到的胶片上只有一个不完美的系综;没有办法给出一个完美的、理论上的系综的胶片。所以,在量子力学里,永远有这样一种张力:似乎个体拥有某种物理意义上的“自由”,但在系综里,也就是说当个体足够多的时候,似乎单凭数量就把个体的自由(不确定性)给抹平、湮灭了。这是我觉得量子力学的所谓“不确定性”很有意思的一个地方:不是单纯的随机性,而是一个只能通过统计的方式来表达的规律。
| 个体 | 系综 |
| 可观测 | 不可(完全)观测 |
| 不可复现 | 可复现 |
| 不可预料 | 可预料 |
这件事情和社会学的假定很相似。社会学承认个体有自由意志,没有办法准确预测。但是它认为仍然可以考察一个社会的结构性的行为。当个体足够多,社会就会展现出一种统计规律。
任逸:我觉得这里需要做一个区分。确实是个体多了就更符合规律,但这似乎不是因为这些个体之间的影响,而是和情境、机制本身有关系。在双缝实验中,光子可以一个一个地通过,通过足够多个以后,也会形成一种统计上的行为规律。
刘任翔:对。如果让许多光子一下子全通过,我们还会担心它们之间可能会有作用。但是,当我们让光子一个一个地通过,我们就可以假定时间上的“距离”排除了个体和个体之间的影响。但与此同时,这些光子好像彼此“知道”似的,共同在总体(系综)的行为之中表现出一种概率分布的规律性。这就很奇怪,因为每一个个体的光子并不“知道”其他光子要去哪儿。那它如何参与形成那种有规律的集体的图形?这就很耐人寻味。
到了量子纠缠现象中,非常遥远的两个粒子在被当成一个系统来考察时,它们的状态之间竟然有某种联系,而且这是一种瞬时、超距作用。从里面诞生出了非常多“玄学”的推论,产生了一整个亚文化,比如《三体》这样的科幻,比如用量子力学印证佛学、苏菲派神秘主义等等。但真正研究量子力学的人很少做这种推论。这里我们看到,量子理论由于撼动了经典的物理世界观的某些方面,给我们开辟出了非常大的想象空间。
黄裕生:“系综”这个概念具体是什么意思?
刘任翔:系综(ensemble)是个来自法语的词。在法语里,它指的就是“一起”。在英语里,它指的是一些东西“拢”在一起的结合或“全套”。放在双缝干涉的语境下,一个光子不能算是一个ensemble,但是一个接一个光子通过、当光子足够多的时候,我们会发现用来考察光子打到的位置的底片上开始出现明暗相间的条纹。一开始,一个点接着一个点,看起来毫无规律;但当点足够多的时候,就会出现条纹。
我们本来说这个光子打到这儿,那个光子打到那儿,都是个体视角。但是我们现在可以说,到目前为止打过去的所有的光子,它们构成了一个ensemble,而这个东西对应的图形是底片上的条纹。也就是说,现在的考察对象不再是单个的光子,而是整体、全体。“系综”涉及的主要就是视角的转换。
量子力学成立的基础,就是不再描述单个粒子满足的运动规律。在考察单个粒子时,我们难免会引入康德意义上的范畴和时空形式,会导向因果决定论;我们一直盯着这个粒子,追问它的变化(往左偏或往右偏等)到底是什么造成的。这当然可以做,但与此同时,这也会改变这个粒子的行为;我们很难说,如此观察到的还是这个粒子自身。
现在,量子力学说它能描述和计算另外一种东西:不用管这些单个粒子的行为如何,只要找足够多个粒子,就能给出一个统计规律。统计规律的描述对象不再是单个粒子,甚至不是有限个单个粒子的集合,而是统计意义上所有可能粒子的总体。所以我觉得,在哲学上对系综最准确的描述是:符合设定的物理条件的一切可能粒子的总体。
3 有关时空概念的形而上学的保守主义
刘任翔:在《时间与量子论》这篇小文章里,齐玛曼说的一件事情非常有意思:我们对于微观体系的测量会遇到一个问题。对于宏观体系的测量,一般来说是把一个作为“尺子”的物体放进体系里,比较它和体系中各个部分的量的关系。宏观体系包含一些可以划分出来的部分,而测量工具又比这个系统要小,所以这个测量工具可以被放“进去”。与此同时,由于它比它所测量的系统小,它的引入对于系统的影响可以忽略不计。比如说,我测量一间屋子长和宽,屋子比我的尺子、至少比我的尺子上的一个单位(如1cm)要大得多;我的测量不会影响屋子的长和宽。
但在微观体系中就不是这样了。因为首先没有原子尺度上“尺子”。尺子也必须要由原子组成。如何用一个由原子组成的东西去丈量另一个单一原子的内部尺度呢?这做不到。再者,这个被测量的原子也并不包含什么可以被划分的部分。我们不能把原子核切2/3下来,这在物理上做不到。在这种情况下,实际牵涉到的测量工具一般都比微观体系要大得多(10-100亿倍)。这样一来,测量工具就必然外在于系统。有趣的是,当它外在于系统时,测量活动必定对系统有破坏或至少有扰动。要考察一个原子的性质,就得“轰击”它,用外部的条件把它激发到高能态,在它从高能态回落到稳定态时观察它的行为。对微观体系的测量,做的都是类似的事情。
| 宏观体系 | 微观体系 |
| 包含可分析的部分 | 不包含可分析的部分 |
| 测量工具比被测量的系统小 | 测量工具比被测量的系统大 |
| 测量工具可被放进系统内 | 测量工具必然外在于系统 |
| 测量对系统影响很小 | 测量往往对系统有破坏性 |
齐玛曼的意思是:如果我们发现,在这个微观系统的行为之中,有一些违背宏观系统的物理规律的情况,这可能并不意味着微观系统服从的是另一套物理规律;有可能只是因为我们测量宏观体系和测量微观体系的方法在本质上是不一样的。由于方法不一样,得出来的物理规律也不一样。
也就是说,齐玛曼试图回到一种在形而上学上比较保守的观点:将量子力学带来不确定性等疑难,限定在人的观测方式的范围之内。他不想过快地跳到世界本身的不确定性、世界本身的量子化那里;他觉得,从量子力学内部的研究中,得不出那样激进的结论。
量子力学发现了一套原理,用来预测新的现象时非常成功。现在的问题是,我们在世界观层面要不要跟着这套非常好用的工具走?我们是只是把它当成工具呢,还是觉得它真的描绘了世界本身的性质?在量子物理学家内部,这是一个争论。我们之前看到的罗韦利比齐玛曼的解释要更激进一些。
齐玛曼的保守主义还体现在他的如下观点:量子力学并没有提出什么全新的时空观念;物理学家们基本上假定或沿用了宏观上测量的时空概念。他们可以观察一个原子核衰变的时间,但这个时间本身是用宏观的钟表来计量的,相当于是沿用了宏观尺度上的时间概念。从微观的物质体系的量子化推不出时空自身的量子化,因为时空自身毕竟不是物质体系。时空可以认为是使物质体系得以被测量的尺度。
在解释量子力学在预测能力上的局限时,齐玛曼没有说得非常死,只是说经典的时空观念也许不能够运用于微观世界。他没有明确说适合运用于微观世界的时空观念是什么。尽管如此,量子力学在解释和预测系综的行为时是无懈可击的,想要多准确就有多准确,也没有模棱两可的情况。当粒子数足够多的时候,系统的行为总会趋近于量子力学所描述的情况。
所以最后齐玛曼总结说,如果我们想要给量子力学这种本身非常成功且坚实的理论加上一个额外的、与时间概念相关的形而上学解释,这是可以的,但是要满足一个条件:加上的部分不仅要能够重现量子论的所有结论(如果这都不能重现,它还不如没有),还必须要“具体、准确而严格地解决至少一个现有的量子力学所不能满意处理的问题”。如果加入或不加入时间观,在解释力上都是一样的话,那么根据奥卡姆剃刀原则(如无必要,勿增实体),我们宁可不要引入这个额外的有关时间的形而上学命题。后者相当于是一种从现有的量子论出发的形而上学猜想,但它并不能被承认为物理理论的一部分。要把它称为物理理论一部分,它就必须使得量子论获得额外的解释力。这就是所谓“哲学解释上的保守主义”。
4 双缝实验中灵异的“探测器”
【按】在讨论之先,我们一起观看了张远林(清华大学哲学系博士生)推荐的如下视频:【恐怖程度不断升级!最完整的双缝干涉实验演变史】 https://www.bilibili.com/video/BV1dK4y1U7VH/?share_source=copy_web&vd_source=262fee1a3df012130377c53ff399bca0
黄裕生:这个很有意思!特别是前面那几个实验,我们有没有可能自己做?我们总是在理论层面思考、讨论这个问题,当然这也是我们的本行。但我们也可以直接操作看看。
刘任翔:实验中出现了两种情况,一种是好多条线,中间最亮,这是干涉条纹。干涉表现的是波的性质。另一种情况只有两条条纹,表现的是粒子的性质。粒子的性质是在打开半路上的观测仪时展现的。波的性质是在不打开观测仪时展现的。
在展现波的性质时,通过双缝的波,会以双缝为起点相互干涉。在屏幕上,两个波峰同时到达处就是亮处,两个波从来都不同时到达处就是暗处。
任逸:我试图解释一下。实验的核心在于,观察者希望知道光子达到屏幕之前经过的路线,尤其是知道它通过了双缝中的哪一条。由于肉眼看不见光子的路线,就用了探测器。探测器的用途是确定光子是从哪条缝过去的。但一旦确定了这一点,光就不再表现波的性质了,而表现出粒子性,直直地过去了。我们作为测量者,有一个意图,即希望知道光子从哪条缝穿过、到达底片的具体路线是什么。这个意图影响了光的行为。
在更深的层面上,当我们把光当成一个粒子去研究的时候,光就表现为粒子了,就不展现波的性质。
刘任翔:观测仪通常被认为是人的视觉的延伸。但在目前的倾向下,这一点未必全对,因为观测不完全是接受性的,而是对被观测的东西的存在方式有规定。也就是说,我们把光当作粒子去观测,相当于把光规定为粒子,来试图获得关于它的信息,这个信息就在于,光作为一个粒子,是通过了左边的缝,还是通过了右边的缝。因为如果把光当成波,问这个问题就是没有意义的。波总是同时走两边的缝。

而在实验中使用的所谓的探测仪,从来就没有把光当成波在观测。它始终在问一些关于作为粒子的光的问题,所以它观测出来的自然就是光的粒子性。
黄裕生:那么光表现哪种性质就和实验对它的设定有关系,而跟做实验的人的意识活动没有关系。可能正因为此,视频最后说的那个心理学家的实验没有得到广泛认可。
刘任翔:我看了一眼这位心理学家所在的机构的名字,特别有意思:Institute of Noetic Sciences。胡塞尔就谈过noema和noesis。这是一种古希腊式的“看”,打开“心里”的“眼睛”去看,不是日常的视觉。

Dean Radin, Chief Scientist
at the Institute of Noetic Sciences
我觉得目前这个问题里有一个难点。我们用比如说康德的框架很容易理解:如果我们的知识必然包含着对对象的规定,那么对象就是按照它被先验地规定的方式向我们显现。现在的问题是,这整个康德式的过程,竟然好像是物理世界的一部分,这就很麻烦。我们在这里似乎是要用自然的因果律去解释康德意义上的范畴的超验作用。探测仪之类东西的都是物理存在,康德式的超验条件直接被作为一个物理存在做进了实验体系,并似乎对实验结果构成了因果影响。这样一来,就不能够仅仅通过超验层面的论证去解释实验现象。
黄裕生:但探测仪对光的规定还是一个经验性的规定,规定光是粒子,所以测出来就是粒子的行为。
刘任翔:现在的问题是:探测仪在打开时,与光之间真的有物理作用吗?好像这个事情不是很显然。实验里设定它是“探测”仪,就是在默认它不会干预光的行为。否则,就只能说我们在光的行进路线上加了一个对它进行影响的部件,而光的行为变化全在于这种影响,那就不存在什么悖论了,因为被比较的两种情况根本是两个物理系统。
如果要在严格的意义上说探测仪是“探测”仪,就要假定它与光之间并没有物理作用。果真如此,我觉得还是要从系综的视角去看问题。我们最终看的都是统计规律,是大量光子通过双缝后在屏幕上显现出来的图样。单凭一个光子产生不了图样,只能产生一个点,根本看不出任何统计规律。
如果从系综的视角看问题,那么可以说,探测仪对于我们观测到的结果的规定作用,不是通过与单个的光子发生物理的相互作用而产生的,而是使得一个原本是别样的可能性的空间坍缩为特定的现实性。也就是说,观测仪的规定只容许了特定的可能性,而这恰恰是光表现出粒子性质的那些可能性。
当然,这种解释的背后有一个假定,就是所谓平行的可能世界,是对量子力学的不确定性原理的一种阐释。比如,如果我在这一刻说这句话或不说这句话是不确定的,那就有两个平行世界。从这一刻开始,会分出两个平行世界,一个是我说了这句话的世界,一个是我没说这句话的世界。如果我确实说了这句话,就相当于我们所有人都进到那个我说了这句话的世界去。只有假定平行的可能世界,才真正会有我刚刚说的那个“可能性的空间”,也才能说,观测仪使得这些平行世界的可能性空间发生了坍缩,把我们导到其中某些特定的“世界支”上去了。如果不采取这个假设,我的解释就无法理解。

当我们把视角放在单个光子上时,这单个光子有无限种可能,因为它可能会打到屏幕上的任何地方。它只是有一个统计上的概率。在没有探测器时,它有一个概率分布。有探测器这件事情,把它的无限可能性的空间做了一个变换。变换的结果,虽然还是无限的可能性,但打到不同位置的概率发生了变化。概率发生变化的原因是,变换依据的规则就是向光子询问:它作为一个粒子,如何去表现?比如说,是通过左边的缝还是通过右边的缝?无限可能性变成了无限可能性,数量上看似没有什么区别,但概率上相当于发生了过滤作用。简而言之,探测仪通过改变单个粒子的可能性空间,对整个系综的行为进行了过滤。
黄裕生:探测仪不打开时,光表现出波的性质。那么是不是可以说,光的波的性质与我们的自然观察更接近?
刘任翔:这只是因为往屏幕上打了足够多的光,表现出了一种整体的行为。而波的视角就是一种整体的视角。我们可以想象波从中心开始往外扩散,却难以想象一个粒子可以这样扩散。粒子扩散了,不会越变越稀疏吗?如果只有一个光子,它还能分成什么?而波的视角是说:从中心出发的所有可能的粒子,如果看成一个总体的话,可以有扩散现象,也就是说有可能朝向任何方向。波可以变得稀疏,稀疏的意思就是说:到达某一点的概率变小了。所以我觉得波的视角本身就是个统计视角。
黄裕生:那是不是可以说,光的波的性质是以其粒子的性质为前提?
刘任翔:这个用社会学类比特别好。如果我们认为,某种社会学的规律是以个体的选择为前提的,那我们在这里也可以说波性以粒子性为前提。但是如果我们不承认统计规律基于个体的行为,那我们也不能说光的波性基于它的粒子性。还是取决于视角。
5 彻底解构实体,这可能吗?
任逸:罗韦利《时间的秩序》第六节的标题是“世界由事件而非物体构成”。正如他用英语和意大利语的区别举的例子一样:英语就像一个有秩序的体系,它的词都是按一定的秩序出现的。意大利语呢,就是一堆词挤在一起,是一个无序的状态。第六节的叙事方式很像意大利语的感觉:逻辑上不是很严谨,但是很有启发性。
我们先按照文本的顺序考察,然后我把他的观点总结一下,最后,我还会尝试指出他的论述中的模糊之处。
首先,这节的标题就很耐人寻味。“世界由事件而非物体构成”,这里面有三个非常重要的概念:世界、事件、物体。这都是非常难理解的概念,互相之间的关系也很难理解。物体看似是一个大家耳熟能详的概念,但往往这种自明的概念背后却有许多东西有待挖掘。
我们之前考察过《时间的秩序》1-5节。(参见:003|罗韦利论时间的崩塌)在这几节中,时间的独立性、统一性等等都因为相对论和量子力学等的新发现而“崩塌”了。但崩塌的是时间的一些性质;它并不表明时间就整个被消解了。罗韦利想要追问的是,如果我们曾经怀有的时间观念崩塌了,那么还剩下什么?他说,还剩变化。既往的时间观念的唯一合理内核就是变化;我们是通过对变化的把握才有了时间的观念。如果我们承认变化是存在的,我们就能引出“事件”的概念。
“变化”和“事件”的概念内核是一样的。它们导向的是一种去–实体或前–实体的理解,或者说,是一种把事件认定为在存在论上在先的理解。所以罗韦利说,世界是事件的网络。
接着,在第70页,罗韦利谈到了“秩序”。如果我们从物体的本位出发来看世界,会觉得世界有一种秩序。比如,牛顿力学从物体本位出发,把时间看作一根“轴”,实体或实体的状态都被排列在时间轴上,仿佛按部就班地发生,不会出现混乱。在这个意义上,时间轴体现了这些物体或其状态出现的秩序。包括爱因斯坦的广义相对论所通往的四维时空的精密的“几何学”,也蕴含着一种物的秩序。
而如果我们从事件的本位出发,通往的就是一种无序状态。罗韦利进一步说,这个无序就是一种弥漫、分散。至于弥散的事件如何构成他所说的“网络”,他并未具体说明。
在作者看来,通过前面几节的阐明,我们通过物体的视角来看到的秩序似乎就崩塌了。时间的主要性质都消失了,那么与之相关的依托时间轴的秩序也就失效了。但是,普遍、必然意义上的时间性质消失了,这并不妨碍时间在某些特定情形下仍然起作用。比如说,在地球的尺度上,我们仍然可以有“当下”或者“同时”的概念;在这个意义上,世界还是有一定的秩序。
而如果我们追随罗韦利在思想上走个极端,把残存的“本地”秩序全部打破,也就是说彻底转换到事件的视角,那么如何理解时间的秩序就成一个问题了。换句话说,如果我们承认时间本身就是无秩序的,那么我们如何解释时间观念的产生,以及在这样的观念下的实体观念的产生?
刘任翔:问一个小问题。这本书的标题是《时间的秩序》。任逸是不是觉得第六节说的是,我们不能继续把时间理解为一种单一的秩序?
任逸:第六节面对的是传统的秩序打破之后的废墟状态、无秩序的状态。到了后面的章节,他还要对时间的概念进行重新建构。
黄裕生:这节特别有意思,相当于把所有的实体都解构掉了。一切都只是过程。
物体的概念跟实体的概念是紧密相关的。在希腊人那里,实体概念(ousia)隐含着“不可抽去的东西”的意思。它使一个事物成为该事物。实体概念和后来物理学的物体概念的相关性在于,物体必定有一个舍去它便不成其为该物体的基底(substratum)。
但是这一节却说,不需要基底。罗韦利举例子特别有意思:在我们日常生活当中,石头是最固定的东西之一,它是一个物体。但罗韦利说,实际上它也并不简单地是物体,而是一个事件的网络。中国思想或中国传统里没有过关于实体的思想;相反,一个很重要的概念是“事”、“事情”。“格物致知”中的“物”,在传统的理解中就被等同于“事”。所以,这个世界上只有事情,没有事物。是不是这个味道?
任逸:我特别喜欢罗韦利举的这个对比:在石头之后举的例子是亲吻。作为一个事件,亲吻是完全不可预知的。这其中不仅有人的自由意志的不可预知性,还有从自由意志的多元性而来的不可预知性。它和石头特别不一样。石头作为物,可以从因果性、实体、相互作用等角度来说明;而亲吻这个事件就带有不可预知的意味,而且它也不是实体。
黄裕生:它过去了就过去了,并不静态地停留在时间里面或空间里面,不是一种持存(Beharrlichkeit).
任逸:对。有一种观点认为,即便是亲吻,也预设了两个人、两个实体,似乎还是得有实体在先,才会有亲吻这个事件的可能性。但与此相对,也可以大胆地断言,事件在存在论上是优先的,亲吻这个事件使得参与它的二者成为可能。
6 量子力学的存在论意涵
任逸:我感觉可以区分两个层面的问题:一个是我们用什么样的视角来看待世界,涉及的是什么是终极的东西。第二个层面是我们以什么样的方式去描述这个视角下的世界。
我觉得,罗韦利在第六节中有时会混淆两个层面。比如说他批判了柏拉图,但柏拉图和他在第一个层面上的观点是一致的:世界的终极是生成(becoming)。罗韦利是在第二个层面(如何去描述这个以生成为基的世界)批判柏拉图的。柏拉图的方法是用数学描述原子的形状,涉及了各种正多面体。而罗韦利认为这是一条死胡同;应当用数学去描述原子的运动而非形状。

在罗韦利看来,描述运动而非静态的事物的形状,这是后来牛顿等人成功的原因。但是,牛顿虽然在第二个层面(描述世界的方式)上与罗韦利一致,在第一个层面(终极的东西)上却与他不一致。牛顿把实体放在第一位,从物体的角度出发去研究变化、相互作用,用力的概念来解释它们。这两个层面,是否能够等同于海德格尔那里的存在论层面和存在者层面?
【注】任逸在这里试图将罗韦利对传统世界观的倒转解释为一种“存在论差异”:事件是存在论层面的概念,而存在者层面的物体必须依托前者才能理解。尽管之后的讨论表明这种解读并不总是适用于罗韦利,存在论层面的奠基也并不总是能够等同于寻找“终极”,任逸所做的对比却为沟通量子力学和海德格尔式的现象学创造了可能。
进一步的问题是理解,说“事件”或“生成”是世界的终极,这在存在论上是什么意思。这意味着,实体或物体只有在事件中才是可能的,而不是说先有实体或者物体才有事件。或者说,“实体化”是一个在后的东西。如果完成了这种存在论上的转向,在讨论上期视频中双缝干涉的例子时也许就能避免陷入矛盾的境地。
黄裕生:你说什么矛盾的境地,我没有特别理解。
任逸:如果我们按照罗韦利的思路,认为世界里都是生成、都是事件,那么我们就必须把物、实体这些东西放在次要的地位。它们之所以出场或“实体化”,是基于事件的发生。
在讨论双缝实验时,我们基于实体优先的存在论,难免聚焦在粒子上,考察它如果从某一边的缝通过会如何如何。这个时候,我们已经是以这个粒子的实体的视角来考虑问题了,所以会陷入矛盾,想不明白为什么这一个个粒子打在屏幕上时不呈现粒子的性状,而呈现波的性状。
黄裕生:这是不是可以转化为一个问题:世界的确可能是一个由事件组成的世界。但是,从事件到实体是如何过渡的?我们不可能不把事件牵涉的事物作为实体来加以理解和规定,来确立它们之间的关系。
比如地球围绕着太阳公转,我们当然可以把公转看作宇宙在漫长的变化运动中的发生的一个事件。但在承认这个事件的前提下,我们仍要开展认识或规定活动,要确立地球和太阳、以及其他行星的关系。这时我们又不得不把地球和太阳独立出来,当作两个实体,才能确定它们之间的关系。那么,事件的“优先性”,在哪个层面上是合理的?我们又为什么会进行“实体化”?
任逸:我想到两点。第一,当黄老师刚才说地球绕太阳公转,就已经把它们当做实体了,就好像我们把光作为粒子观察,就已经在实体的语境下考察它。
第二,要回答物体优先和事件优先何者更合理的问题,就要考虑一些极端情况,不能只在日常经验的范围内追问。因为在日常经验中,两种视角往往看起来都很合理,就好像在宏观层面,量子力学和牛顿力学都显得很合理——那些吊诡的东西都被“日常性”给隐去了。所以我们要把情况推到极致,来考察哪个理论仍然是有效的。
最经典的一个情形就是对物质的切分。从古希腊开始,人们想要对物质一直做切分。切到原子,切到质子和中子,又切到夸克。在这整个过程中保持有效的唯一理论就是量子力学。量子力学告诉我们,物质是波。如果物质是波,物质世界就是一个事件的世界,而不是一个实体的世界,因为波更像事件而非实体。

刘任翔:我想知道,你在读了罗韦利的论述之后,是否认可“在存在论层面上,事件比物体更基本”这个观点?
任逸:考虑到逻辑和科学的发展历程,我不得不得不承认它。它是目前唯一一个合理的解释。从情感上说,我也倾向于接受它。因为它将我们置于一种有更多可能性的境地,“余地”会更多一些。
刘任翔:你提到科学上和情感上的考虑,这两个听上去都是存在者层面的事。科学探讨是存在者之间的经验关系,而情感涉及的是我们希望存在者表现出什么样的性质。
任逸:没错,但我觉得罗韦利的讨论已经不限于在存在者的层面上运作的量子力学了。
刘任翔:对,因为他已经在探讨“世界”了。一谈“世界”,就没有办法把存在论层面和存在者层面分开了。比如,《存在与时间》第14节对“世界”的四重定义中,第三重(存在者层面上的周围世界,Umwelt)和第四重(世界之为世界,Weltlichkeit,是一个存在论概念)没有办法分开。现在罗韦利说,对“世界之为世界”这个问题的回答是事件。那么事件(event;Ereignis)就比物体更基本。所谓更“基本”,就是说我们可以从事件的角度出发、在事件的基础上去理解像石头这样被当作物体的存在者是怎么回事。将事件确立为基点后,我们还要能解释,为什么我们会感受到、看到有物体在那儿?
7 生成的形而上学的理论疑难
刘任翔:罗韦利在第71页上说:“最坚硬的石块,根据我们所学的这些学科,实际上是量子场的复杂振动,是力瞬间的作用,是粉碎重归尘土前短时间维持原状、保持平衡的过程。”我的理解是,他所谓“事件”的概念包含了诸如力的作用、短时的平衡过程、历史的遗存(“新石器时代人类的痕迹”)、实践的用法(“孩子使用的武器”)等。我感觉,他的“事件”概念非常宽泛,在存在论层面上并没有给“事件”一个特别明确的规定:什么算事件、什么不算。似乎但凡不能按物体的方式把握的、捉摸不定的、存在有时效的、说不清什么时候在什么地方的,都可以放进“事件”的筐里。
但如果是这样,他的理论就有点头足倒置。本来,我们是假定所经历的世间现象中有非常少的一类,叫做“物体”现象,这类现象能够用来解释剩下所有现象。比如,有了“石头”这个物体的现象,就可以解释石头碎了、石头发热了、石头碰鸡蛋了等等。相当于可以用1来解释100。现在,按照罗韦利对“事件”的宽泛定义,那100是事件,1是物体,相当于要假定了100,才能来解释1。这种理论称作“科学”还合适吗?感觉假设了更多的东西,能解释的东西反而变少了?

任逸:这也是我思考的问题之一。第72页强调,把世界看作是由物体组成的,这是行不通的;把世界看作事件的网络才行得通。我们一开始把世界看作是由原子构成的,而科学的发展通往量子力学,从而回归到非–物体或非–物质。理论本身被推到了这个境地。到了这一步,罗韦利提出我们可以倒转视角,把事件当作世界的终极,论述的文学色彩很浓。我想帮他在存在论上奠基,但他自己确实没有给出明确的阐释。
孔维鑫:罗韦利说“物体只是没有变化的事件”,我想,他所说的“事件”,是不是就是指“变化”,物体之间的关系的变化?
刘任翔:我觉得这个说法切中了问题的关键,即对于“事件”和“物体”的区分依据是什么。在文本中,最明显的区分依据就是是否随时间而变。一直变,就是事件;在可观的时间跨度中不变,就是物体。
据海德格尔说,传统形而上学将存在(Sein)理解为现成存在(Vorhandensein),理解为持久的在场(ständige Anwesenheit)。那么,罗韦利是相当于给出了一种头足倒置的形而上学,有点像后尼采主义的所谓生成的形而上学(metaphysics of becoming),与存在的形而上学(metaphysics of being)对立。生成的形而上学认为变化(Werden)比存在(Sein)在存在论上更根本。它要从变化、生成出发,把不变的存在解读为暂时性的中间环节。
另外,我感觉在文本中同时出现了两种意义上的区分。一是从时间上,按照是否持存来区分物体与事件;二是从类似空间的意义上,按照是否“自立”来区分物体与事件。物体是自立的,它自己就是它自己;而事件往往不是自立的,而是一种关系,比如上期中说的亲吻。如果说事件先于物体,那么不仅(依据第一种区分)意味着变化先于持存,而且(依据第二种区分)意味着关系先于关系项、定义了关系项,如亲吻定义了亲吻的人是谁。
存在论层面的争论焦点,简而言之就是:是持存的先于变化的、自立的先于关联的,还是反过来?
孔维鑫:我感觉罗韦利好像想把物体都消解掉。即便通常认为最像物体的物体——石头,他也理解为“粉碎重归尘土前短时间地维持现状”。他并不是说,石头是物体、亲吻是事件;而是在说:并没有什么物体,连石头都是一种事件。
刘任翔:在对罗韦利的解读上,我们没有太大分歧。现在的问题是,假如接受了他这一套,会不会产生别的问题?
黄裕生:问题就是,现象层面的物体是怎么出来的?确定性是怎么出来的?
孔维鑫:如果同意他说的,根本没有物体,那我们还要解释物体是怎么出来的吗?
黄裕生:说真实的或更基础的世界由事件而非物体构成,这是可以的。这是在说:世界上没有什么固定的、现成的或天然的东西,没有具有自我同一性的、本质性的物体。一切都是事件。
8 量子力学与现象学能否殊途同归?
黄裕生:我觉得,这种从物理学里引出的观点,实际上已经很接近现象学,在某种意义上也很接近东方的古代思想。
我觉得这一节里有两个问题值得讨论:
- 为什么说,一旦这个世界被当作事件的网络来看待,时间就可以没了、消失了?
- 假定世界是由事件构成,但所有的科学仍是建立在“确定的、有规定性的事物”这一基础之上的。如果没有确定性,没有自我同一的事物,我们就无法确定各种必然的、不随事件和主体转移的联系,那么所有的科学就都会瓦解。如果有确定性,如果事物之间有确定的关系,那么显然就要将事物从事件的网络中切割出来,或者说把事物固定下来。这就不再是纯粹的becoming,而是要引入being。这具体是如何可能的?
刘任翔:顺着“事件形而上学”的思路,我们认为放之四海皆准的科学,就变得好像是基于我们人这种存在者的特定的结构、或者说特定的认识方式。世界本无物体,是人为了做科学而从事件的网络里切割出了物体。换言之,科学基于人类学。但与此同时,人类学又是一门科学。这会不会是一种恶性循环?
黄裕生:这是很重要、很值得讨论的一个问题:科学在什么意义上基于人类学,在什么意义上又不基于人类学?
刘任翔:关于黄老师刚刚的第一个问题(为什么一旦这个世界被当作事件的网络来看待,时间就可以没了、消失了?),我的理解有一点不同。我并不认为,把事件放在物体之先,就一定会导向完全无时间的世界图景。我觉得只是没有了经典时间,或者说没有那种全世界统一的时间。这并不意味着世界是永恒、静态的;它可能恰恰意味着一个彻底的赫拉克利特式的世界。
在这个世界里,甚至不能断言两个事件谁先谁后。在我们先前看的双缝实验的视频中,也出现了看似后发生的事件可以对先发生的事件有因果作用的情况。
黄裕生:这个世界里只有变化、快慢,但没有同时、没有先后。在这个意义上,时间就“崩塌”了。看这些的时候,我觉得特别有触动的是:他从物理学出发,得出的许多想法竟然跟哲学的想法完全一致。
刘任翔:我同时也不是特别同意黄老师说的:罗韦利对事件的解释是现象学的解释。更具体地说,我不能同意,罗韦利所说的“事件”,就是现象学所说的“现象”。
黄裕生:当然不是在这个意义上等同二者。他接近现象学的地方是:这个世界没有现成(vorhanden)的东西。现成的东西是派生的。在这个意义上,他跟海德格尔的现象学很近。
刘任翔:可是,事件是不是另一种现成存在者,只不过不是静态的?
黄裕生:事件可以被现成化。但既然它是不断生成的过程,它就不是现成的。
刘任翔:首先,“变化”或“生成”与“现成”并不矛盾。从牛顿力学到达尔文的进化论,都是通过将变化和生成给现成化的方式,给出有关它们的科学理论。
其次,我们用语言描述事件的时候,往往还是要涉及实体。比如,我们的确是在谈论变化,但我们一般会说石头变冷、石头碰到鸡蛋了;还是会需要涉及实体的名称。如果仅在言谈的层面上做一个现象学分析,那么在这个层面上的现象(自我显现者)从来都不只是包含纯粹的生成和变化。相反,我们永远是同时给出了(a)持存者和(b)持存者参与的事件。也就是说,在现象层面浮现的永远是物体–参与的–事件,或物体–参与了–事件,而不可能只浮现一个完全把握不住的、赫拉克利特意义上的生成。
照此看来,“事物如何出场”就不成其为一个问题,因为在现象的层面,事物总是已经浮现,只不过是以和事件“手拉手”的方式,而不是作为现成的事物浮现的。
黄裕生:但是还是要问它是如何显现的。
刘任翔:是的,但这不是一个有关事物如何从完全无事物的基础出发被建构的问题,而有可能是有关事物如何总已(immer schon)被预设的问题。
黄裕生:怎么理解罗韦利说的这个“事件”?德文是Ereignis吗?
刘任翔:是Ereignis,但这是德语译者的选择,与作者没关系。用Ereignis就已经预设了有一个“事件向其显现者”,因为它有eigen(自己)的词根,意味着事件既是“自己”发生,同时也是“向着”或“为了一个自我”而发生。
如果只考虑我们先前涉及的“事件”的内涵,我觉得罗韦利的讨论没有穷尽Ereignis的全部丰富性。我觉得他想说的事件更接近Geschehen,纯粹的发生。
9 科学何以剧烈撼动思辨的世界观?
曲经纬:哲学家们从古代的世界观出发,单凭思辨似乎很难达到量子力学得出的那些结论,甚至很难得出“地球是圆的”这样的结论。
刘任翔:这涉及一个复杂的问题。比如,我们对轴心时代的希腊人、印度人或中国人说:“你脚下的大地事实上是一个球体”,他们会难以接受,但这也不能完全怪他们。因为,他们在现实生活中见过的球体,其视大小与人的身体大小都是可比的。在严格区分了形状和大小的纯粹几何学深入人心之前,这种大小的可比性或许也是对“球体”的定义的一部分。
在那种情况下,人们可以承认椰子像个球,也可以想象天上的太阳是一个球。但如果对他们说,他们脚下踩着的、看不到边的这个东西,也是个球,我觉得他们不是特别能理解这句话究竟想说什么。它首先涉及一种在尺寸上的巨大的不对称,然后他们还要想象在一个比他们大那么多倍的球上的他们自己是什么情况,还要去想象那个球的“上”和“下”。我们今天已经不会把站在南极的人说成是“上下颠倒”的人,但这是因为,我们已经在借助球体的形象来理解“上”和“下”:接近地心的就是“下”,远离地心的就是“上”。

所以,科学带来的变化,主要在于引入了日常经验之外的一整套看待世界的方式,与此同时把这套新的方式设定为世界的“本质”;而我们平时熟悉的种种却是被说成仅仅是“现象”,只是看上去如此;或者被说成是不准确的。在这两个世界之间,出现了巨大的差异和断层,甚至许多时候无法将它们相互对应起来。量子力学尤其是如此,其中出现的许多理论建构根本没有日常经验中的对应物。
我们从日常经验出发,可能有一些存在论的假设;现在的问题是,这套存在论假设在碰到量子力学所声称的“真实”的世界时就失效了。罗韦利这样的量子力学研究者,正在从他们“坚实”、“严格”的物理研究出发,试图挑战我们基于日常经验的存在论设定。挑战涉及各个方面:世界的构造;什么东西算是一个物体;什么算是自然;什么算是一个事件。量子物理学家试图给出一种新的存在论。哲学的思辨,如果不是先接受了科学家对“本质世界”的设定,当然也走不到科学家在存在论层面的结论。
曲经纬:量子力学给我们的思维带来了如此多的困惑。在公元前,即便最智慧的人,也无法理解现代的宇宙观;但在今天,即便是小学生的宇宙观都比公元前最智慧的哲学家要正确。自然科学的进步给人的思辨带来的突破,是思辨仅凭自身达不到的。
成果:我觉得曲经纬把两个人群分得太泾渭分明了,好像哲学家是和科学家完全不同的群体。事实上,提出那些最为颠覆日常经验的观念的,恰恰是哲学家群体。连牛顿都自认为做的是自然哲学。再者,如果没有哲学家在思辨层面的准备,后来的科学家也无法发展出一整套的世界学说。
刘任翔:我最后有一个想法。双缝实验里的光、探测器和屏幕,你说它们是自然的一部分吗?如果不是因为先有了波的理论乃至量子理论,谁会去弄两个缝,再去观测屏幕上有什么?这种东西,还能说是自然的一部分?从这里得出的科学,还能说是自然科学?这是我一直以来的疑惑,当然,今天解决不了。就先放在这里。
《008|时间的量子效应》有2条评论